¿Eres un estudiante avanzado de ciencias e ingeniería en busca de dominar el Método de Euler para resolver ecuaciones diferenciales? ¡Tenemos la solución perfecta para ti! Presentamos el Combo de Aprendizaje Avanzado en el Método de Euler, que incluye un artículo detallado sobre el origen del método, el código para implementarlo en Sagemath y 10 ejercicios resueltos paso a paso. ¡Impulsa tu conocimiento y tus habilidades con este combo excepcional!
Sabemos que como estudiante avanzado te encuentras frente a desafíos específicos al abordar ecuaciones diferenciales y la aplicación del Método de Euler. Los puntos de dolor más comunes incluyen:
- Dificultad para comprender los conceptos subyacentes y la construcción del método.
- Falta de ejemplos prácticos y claros que ilustren la aplicabilidad del método en situaciones reales.
- Escasez de recursos que proporcionen tanto el artículo teórico como el código y ejercicios para una experiencia de aprendizaje completa.
Beneficios del Combo de Aprendizaje Avanzado en el Método de Euler:
- Artículo detallado sobre el origen del método:
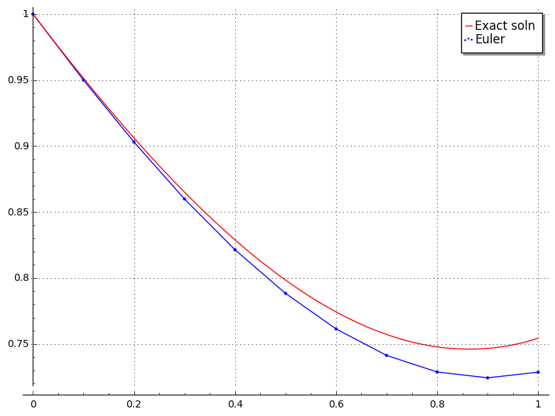
- Desglosa los conceptos clave, como la ecuación de la recta, la pendiente y la linealización, de manera clara y accesible.
- Utiliza gráficos generados con Sagemath para una comprensión visual y práctica.
- Código para implementar el Método de Euler en Sagemath:
- Obtén el código completo y bien comentado para aplicar el método en tus propios proyectos y análisis.
- Ahorra tiempo al tener una base sólida para desarrollar tus propias implementaciones personalizadas.
- 10 ejercicios resueltos paso a paso:
- Practica tus habilidades con una variedad de ejercicios cuidadosamente seleccionados.
- Comprende la aplicación práctica del Método de Euler en diferentes contextos y escenarios.
¡No pierdas esta oportunidad única de potenciar tu aprendizaje y dominio del Método de Euler! Adquiere ahora el Combo de Aprendizaje Avanzado y lleva tus habilidades a un nivel superior. Conviértete en un experto en la resolución de ecuaciones diferenciales y destaca en tus estudios o carrera profesional.
¡No esperes más! Amplía tus conocimientos, fortalece tus habilidades y desbloquea nuevas oportunidades en el campo de las ciencias e ingeniería. Obtén tu Combo de Aprendizaje Avanzado en el Método de Euler ahora mismo y acelera tu progreso. Actúa hoy y adquiere este combo excepcional para impulsar tu éxito académico y profesional.
Recuerda que el Combo de Aprendizaje Avanzado en el Método de Euler se entrega en formato digital y es compatible con woocommerce para una descarga rápida y conveniente. ¡Aprovecha esta oferta especial y toma acción ahora mismo!









Valoraciones
No hay valoraciones aún.